-
截至2023,我无法提供2025年的具体政策,但可以基于2023年的信息,为您解析江苏高考加分政策的一般情况、最新细则以及可能的影响。
### 江苏高考加分政策概述
江苏省的高考加分政策主要针对以下几个方面:
1. "少数民族加分":江苏省内少数民族考生可以享受加分政策。 2. "烈士子女加分":烈士子女可以享受加分。 3. "归侨、华侨子女加分":归侨、华侨子女可以享受加分。 4. "运动员加分":参加全国性体育比赛获得优异成绩的运动员可以享受加分。 5. "优抚对象加分":其他优抚对象可以享受加分。 6. "科技创新与竞赛加分":在科技创新竞赛中获奖的学生可以享受加分。
### 最新细则
以下是一些可能的加分细则:
- "加分分值":加分分值一般在5分以内,具体分值根据不同项目和等级而定。 - "申报材料":考生需要提供相应的证明材料,如身份证、户口簿、获奖证书等。 - "审核流程":加分申请需要经过学校、县(市、区)招生考试机构、市级招生考试机构等多级审核。
### 影响解读
1. "竞争压力":加分政策使得部分考生在高考中能够获得额外的分数优势,这可能会增加其他考生的竞争压力。 2. "公平性":加分政策旨在体现对特定群体的关怀
举报 -
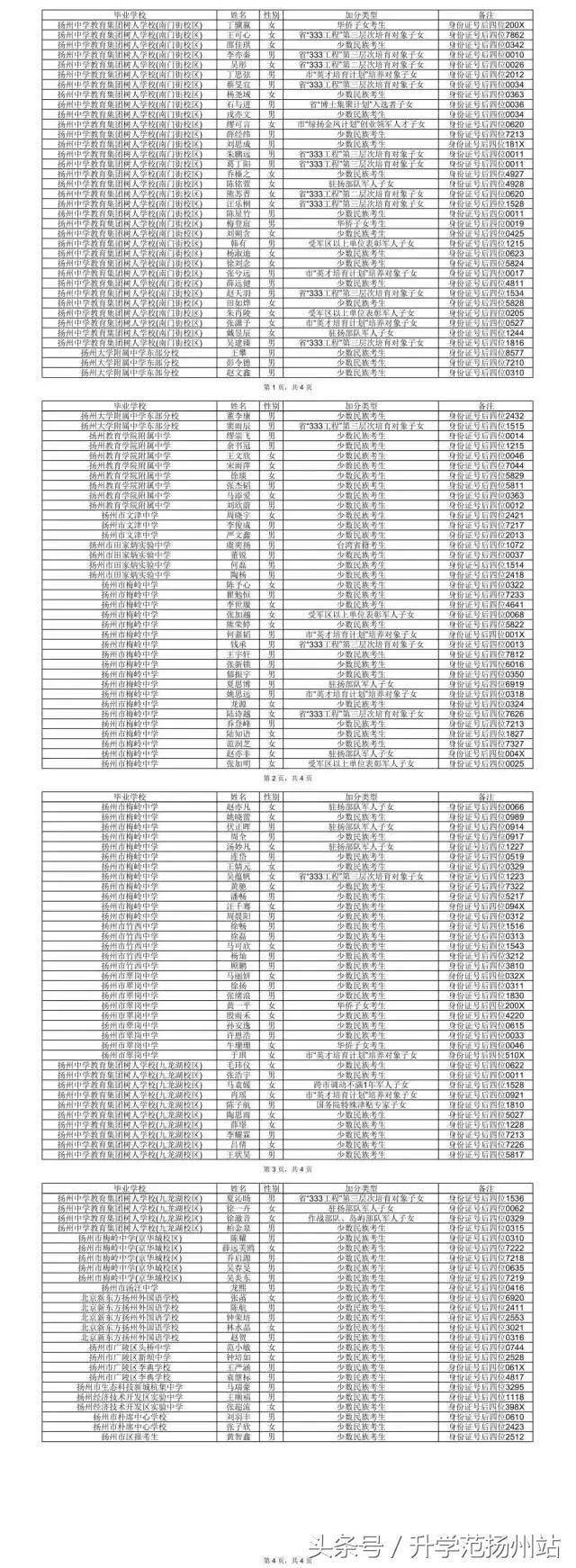
2025江苏高考加分政策
1.根据省教育厅等六部门《关于印发江苏省进一步深化高考加分改革工作实施方案的通知》(苏教考〔2020〕31号)规定,有下列情形之一的考生,在其文化统考成绩总分的基础上增加一定分数投档;达到高校投档条件的,由高校审查决定是否录取。同一考生如符合多项增加分数投档条件的,只能取其中幅度最大的一项分值,且不得超过20分。所有高考加分项目及分值均不得用于高校不安排分省招生计划的艺术类专业、高水平运动队、 高校专项计划等招生项目。
(1)烈士子女,录取时加20分投档。
(2)在服役期间荣立二等功以上或被战区(原大军区)以上单位授予荣誉称号的退役军人,录取时加20分投档。
(3)归侨、华侨子女、归侨子女和台湾省籍考生(含台湾户籍考生),录取时加5分投档。
(4)自主就业的退役士兵,录取时加10分投档。
2.根据教育部有关规定,平时荣获二等功或者战时荣获三等功以上奖励军人的子女,一至四级残疾军人的子女,因公牺牲军人的子女,驻国家确定的三类以上艰苦边远地区和西藏自治区、军队划定的二类以上岛屿工作累计满20年军人的子女,在国家确定的四类以上艰苦边远地区或者军队划定的特类岛屿工作累计满10年军人的子女,在飞或停飞不满1年或达到飞行最高年限空勤军人的子女,从事舰艇工作满20年军人的子女,在航天和涉核岗位工作累计满15年军人的子女,在实行顺序志愿投档的批次,参加全国统考录取并达到有关高校投档要求的,予以优先录取。
公安烈士、公安英模和因公牺牲、一级至四级因公伤残公安民警子女参加全国统考录取的,按照《公安部教育部关于进一步加强和改进公安英烈和因公牺牲伤残公安民警子女教育优待工作的通知》(公政治〔2018〕27号)的有关规定执行。国家综合性消防救援队伍人员及其子女参加全国统考录取的,参照军人有关优待政策执行。退出部队现役的考生、残疾人民警察参加全国统考录取并达到有关高校投档要求的,在与其他考生同等条件下优先录取。经共青团中央青年志愿者守信联合激励系统认定获得5A级青年志愿者的考生,以及受到设区市级以上人民政府或省级以上部门表彰的见义勇为人员或其子女,达到有关高校投档要求的,在与其他考生同等条件下优先录取。
各地各部门要严格落实享受照顾政策考生资格省、市、县(市、区)、校多级公示机制。省级招生考试机构、设区市、县(市、区)教育行政部门及考生所在学校均须向社会明确告知公示网站,做到详实、准确、及时公示,中学还须公示到考生所在班级。未经公示的考生一律不得给予相应资格。公示时间不少于10个工作日。网上公示信息须保留到当年年底。
》》》江苏高考成绩构成及计分方式
高考总分值设置为750分。考生总分由全国统考科目成绩和3门选择性考试科目成绩组成。
语文、数学、外语3门科目以每门150分原始分计入总分,其中外语科目含听力考试30分。选择性考试科目每门均为100分。其中,物理、历史科目以原始分计入总分,其余科目以等级分计入总分。
》》》
举报

